岳阳市第十五中学2023年拔尖创新人才培养基地班招生考试成绩公示

2023-06-27 16:07    字体:

岳阳市第十五中学2023年拔尖创新人才培养基地班招生考试成绩公示

 

 

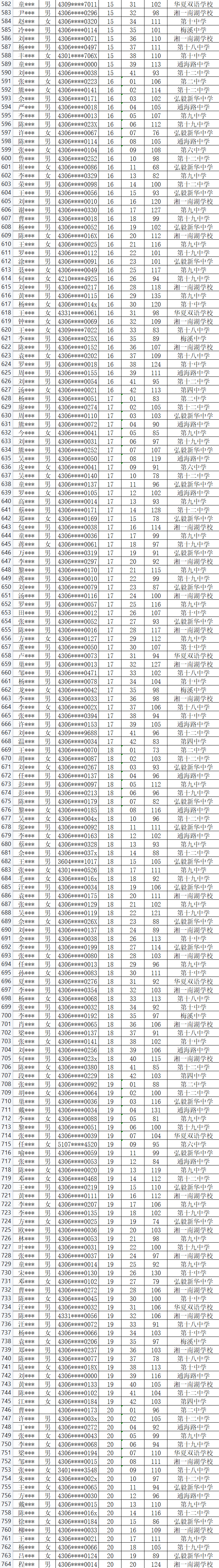
根据岳阳市教体局《2023年岳阳市市区普通高中招生工作方案》和《2023年岳阳市第十五中学拔尖创新人才培养基地班招生工作方案》,我校于6月24日对报考我校且符合条件的考生进行了现场测试,现将测试成绩公示如下:

 

基地班学生入围分数线为110分

 

 

 

 

 

 

岳阳市第十五中学

二〇二三年六月二十七日

 

 

 

美编:方籽妍

初审:向学迪

终审:喻中伟